当前位置: 新能源网 » 新能源知识 » 正文

海上风电机组分阶段预防性维修策略

日期:2017-06-29    来源:电力建设

国际新能源网

2017
06/29
17:19
文章二维码

手机扫码看资讯

关键词: 海上风电 风电机组 风电知识

   摘要: 针对海上恶劣环境所引起维修费用昂贵的问题,结合部件失效率曲线,提出了海上风电机组分阶段预防性维修策略。首先引入容量因子,修正海上风电机组单位时间停机损失。其次,视风电机组为多部件复杂系统,结合维修情况更新部件和机组可靠性。在考虑预防性维修成本和对机组可靠性提高量的影响下,构建费效比(  return on investment,ROI) ,采用离差标准化方法,确定各个部件的维修方式。以单位时间维修成本最低为目标,部件可靠性为约束,采用反向粒子群算法( opposition based learning-particle swarm optimization,OBL-PSO) ,得到最优维修时间间隔和全寿命周期内预防维修次数。最后,以某海上风电机组为例进行仿真分析。仿真结果表明,分阶段预防性维修策略比传统等时间间隔的维修策略减少了停机维修次数,能够进一步降低维修成本,为海上风电机组维护策略的制定提供指导。
 
  0 引言
 
  据全球风能协会统计[1],到2015 年底,全球海上风电累计装机容量达12. 105 GW。由于海上风速稳定,机组容量大,且海上风电靠近负荷中心,开发前景广阔。但恶劣的海上环境提高了风电建设的难度,增加了开发成本,也不利于电气设备的长期稳定运行。同时,海上风电发展年限较晚,运行经验匮乏,导致海上风电运维难度大、费用高。据统计[2-3],在整个海上风电项目全寿命周期成本中,海上风电场的运维费用占比为18% ~ 23% ,比陆上风电的运维费用高12% 左右。“十三五”海上风电规划淡化了总装机容量目标,重在调整政策,优化海上风电机组运维等[4]。因此,海上风电运维策略的研究刻不容缓。
 
  目前,对于已投运并网的海上风电机组而言,通常采取1年1次或1年2次的定期预防性维修( preventive maintenance,PM) 与事后维修(correctivemaintenance,CM) 相结合的维修策略。该维修方案简便易于实施,但部件的健康状况随运行时间动态变化,1年2 次的定期维修在投运初期可能会造成部件过度维修,增加不必要的停机损失。在后期,随着部件的劣化,故障风险率增高,仍采用这样的维修方式可能会出现由于维修次数不足,引起较高的故障维修成本。
 
  因此,国内外学者对非等周期的预防性维修策略进行了相关研究[5-9],维修间隔随着部件的劣化而缩短,更加贴近部件及机组的役龄变化,但海上环境的不确定性及策略的复杂性使得非等周期的维修策略在工程应用和执行上受到了一定的制约。由此,文献[10-11]提出了一种维修周期递减的顺序维修策略,设备在经过N - 1 次预防性维修后进行更换,对期间发生的故障采取最小维修方式,相比于非等周期的预防性维修策略,该策略更易于实施,但其忽略了频繁维修造成的停机损失。文献[12]提出了一种针对单部件的分阶段顺序预防性维修策略,将部件的寿命周期分成若干个阶段,在每个阶段内采取等时间间隔的维修方式,经过n 次预防性维修后实施更换,有效兼顾了部件的劣化过程及工程可操作性,但该模型未考虑设备维修过程中可靠性的变化。文献[13]考虑了部件的可靠性约束和维修资源耗损情况,验证了针对单部件分阶段维修模型在一定的可靠度约束区间内更具经济性。
 
  本文结合部件全寿命周期内的失效率曲线,将机组运行期分成多个维修阶段,提出一种海上风电机组分阶段预防性维修策略。首先,引入容量因子描述海上风电机组单位时间停机损失。其次,根据历史故障数据建立部件寿命分布和可靠性函数,进一步考虑部件间的经济相关性,采用机会维修策略。在考虑预防性维修成本和对机组可靠性提高量的影响下,构建费效比( return on investment,ROI) ,确定部件的维修方式。以单位时间维修成本最低为目标,部件可靠性和稳定运行年限为约束条件,采用反向粒子群算法( opposition based learning-particle swarm optimization,OBL-PSO) 寻求最优的维修策略。最后,通过算例仿真验证本文所提策略的有效性,同时分析阶段数对维修策略的影响。
 
  1 海上风电机组分阶段预防性维修思路
 
  根据海上风电机组的故障统计表明[14],在不进行预防性维修时,其失效率符合浴盆曲线( bathtubcurve) ,如图1所示。
 
 
  如图1 所示,在初期( 0—t1) ,机组设计、安装等过程中的缺陷导致部件故障率短期内较高,此时处于机组安装调试阶段,由风机厂家对机组性能、可靠性等指标进行综合评价与维护,而预防性维修策略的研究一般针对进入稳定运行期后的机组。故本文对新投运机组采用工程上常用的500 h( 1 个月试运行期后) 例行维护[15]。对于进入稳定运行期(t1—T)的机组,采用分阶段预防性维修策略。
 
  分阶段预防性维修策略将稳定运行周期(t1—T)分成S个阶段,每个阶段内具有固定的维修时间间隔和维修次数,不同阶段内的维修时间间隔不同。图2为海上风电机组分阶段维修示意图。图2中:τs为第s阶段的维修时间间隔,τ1 > τ2 >… > τs > … > τS; Ns为第s阶段的维修次数; tPMs为第s阶段内平均预防性维修时长。
 
 
  视海上风电机组为由n个部件构成的复杂系统,各部件之间故障相互独立,考虑部件间的经济相关性,引入机会维修策略[16]。具体的判断过程如下详述,逻辑图如图3所示。
 
 
  (1) 到达维修时刻τs时,对部件j( j = 1,2,…,n)的可靠性Rj与其预防性维修阈值Rj p进行比较。若Rj < Rj p,则通过费效比确定维修方式。
 
  (2) 将其余部件m( m = 1,2,…,n,但m≠j) 的可靠性Rm与其机会维修阈值Rm o和其预防性维修阈值Rm p进行比较,若满足Rm p < Rm < Rm o,则对部件m采取不完全维修,反之则不维修。
 
  2 分阶段预防性维修策略
 
  2. 1 海上天气情况对维修策略影响
 
  以往的维修策略在计算维修停机时间与损失时,往往只考虑停机时间与年有效利用小时数的关系,但海上风电机组维修任务的实施受到维修项目类型与天气情况等影响,不同时刻开展不同类型的维修工作,停机损失差异大。因此对停机时间及损失的计算尤为重要。
 
  (1) 单位时间的停机损失。天气因素对维修作业的影响是多方面的,包括风速、浪高、雷雨天气等。雷雨天气大多伴有大风或大浪情况,考虑到维护人员的安全,不建议雷雨天气出海作业。同时,由于海上平均风速与浪高近似线性关系[17],本文仅考虑风速影响,海上风速虽然具有明显的周期性,但具体到某一天又不具可比性。故本文引入容量因子来描述不同季节不同风速下单位时间停机损失Cl。
 
 
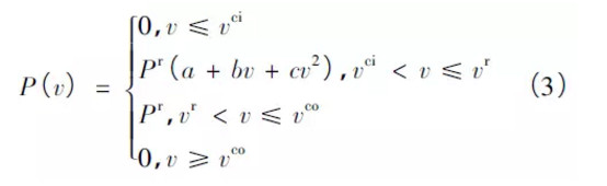
  式中: fv为容量因子,即为某段停机时间tp内实际发电量与同期额定发电量的比值; P( v ) 为实际发电功率,本文采用线性拟合与实时风速之间的关系[18]表示,如式( 3) 所示; Δt 为风速采样间隔; Pr为机组额定功率; C1为单位时间停机损失; C0为海上风电上网电价。
 
 
  式中: vci、vr 和vco 分别为切入风速、额定风速和切出风速; a、b、c分别为发电功率与风速的常数关系、线性关系、二次关系的拟合系数,可由式(4)—(6) 计算得到。
 
 
  (2) 停机时间。第i 次维修的停机时间tip主要由维修所需时间tim和由于天气情况引起的海上可及等待时间tid 、人员船只排队等待时间tiq以及备件周转等待时间tis组成,3 个等待时间之间存在并行的可能,故取其最大值作为维修等待时间,如式(7)所示。
 
 
  到达第i次预防性维修时刻,依据实时风速预测情况对天气可及等待时间tid做出预测。假设当风速大于9 ~ 12 m /s 时,不对部件实施更换措施。同时若无空闲的人员船只服务窗口,则需等待tiq; 若仓库无所需备件,则需等待tis 。
 
  2. 2 维修策略优化经济模型
 
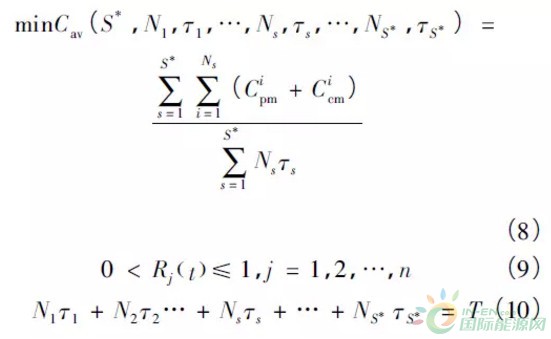
  本文采用稳定运行期内单位时间维修成本Cav最小作为目标函数,如式( 8) 所示。部件可靠性与稳定运行年限为约束条件,如式( 9) —( 10) 所示,优化得到最优的阶段数S*以及s阶段内最优的维修次数Ns和时间间隔τs。
 
 
  式中: Cipm为第i 次预防性维修成本,包括部件维修成本、停机损失和维修人员及船只租赁费用; Cicm为第i次故障维修成本; Rj(t)为部件j的可靠性随时间变化的函数。
 
  2. 2. 1 预防性维修成本
 
  预防性维修成本Cipm的计算公式如式( 11) 所示。
 
 
  式中: Cicom为部件维修成本; Ciloss为停机损失; Citech为维修人员及船只租赁费用。
 
  ( 1) 部件维修成本。部件维修成本的构成取决于部件的维修方式,包括更换成本和不完全维修成本。假设部件j 第i 次不完全维修成本Cij,im与机组可靠性提高量ΔR 相关[19],其变化趋势如式( 12) 所示。
 
 
  式中Cj,re为部件j 的更换成本,是成本调整因子,随着机组可靠性的改善而变化,使得不完全维修的费用更加贴合实际维修效果,其变化趋势如图4 所示。当γ < 1 时,不完全维修费用随可靠性改善增加显著; 而当γ > 1 时,变化趋势较为缓慢。
 
 
  引入维修范围判断因子λij和维修方式标识因子μij描述第i 次维修部件的维修成本,如式(13)所示。
 
 
  (2) 停机损失。第i 次维修的停机损失Ciloss由单位时间停机损失和停机时间构成,如式( 14) 所示。
 
 
  (3) 维修人员及船只租赁费用。根据维修活动类型不同,其所需维修时间、维修船只类型及人员数如表1所示。
 
 
  由于部件更换时间长,所需人员数量多,故本文假设在第i 次维修时有部件需要更换( 使用起重船或自升式平台船) ,若还存在其他部件的不完全维修,可同时开展,无须增加额外施工人员,只计更换所需停机时间与维修人员及船只租赁费用。反之,若只存在不完全维修,则使用运维交通船,停机时间与维修人员及船只租赁费用由各部件累加而成。在第i 次维修时刻维修所用时间及维修人员与船只租赁费用如式(15) —(16) 所示。
 
 
  式中: tj,re、zj,re分别为部件j 更换所需时间和相对应的人员数量; tj,i m、zj,i m分别为部件j 不完全维修所需时间和相对应的人员数量;Citech为维修人员与船只租赁费用; Cvj和Cv0分别为部件j 更换所需船只的日租赁费用和运维交通船的日租赁费用; Cper为人员日工资。
 
  2. 2. 2 故障维修成本
 
  故障维修及预防性维修策略的安排取决于风电机组关键部件的劣化情况,其可由统计的役龄规律( 即时间的确定性函数) 来描述,本文采用weibull分布[20]对此过程进行描述,部件的故障率函数hj(t)和可靠性函数Rj(t) 分别如式(17) —(18) 所示。
 
 
  式中: αj为部件j的尺度参数; βj为部件j的形状参数; T为时间间隔。
 
 
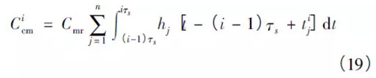
  假设期间发生故障,采用最小修复方式,使部件恢复工作状态,对部件的可靠性和失效率均没有影响。则机组在第i - 1 次维修与第i 次维修间隔内的故障维修成本如式(19)所示。
 
 
  式中: Cmr为最小修复成本; tij为部件j在第i次维修后的实际役龄,由式(20)计算得到。
 
  式中: Rij'为部件j经过第i次预防性维修后的可靠性; Rij为部件j到达第i次预防性维修时刻的可靠性; η为可靠性改善因子。
 
  2. 3 基于费效比的维修方式选择
 
  费效比为投入费用和产出效益的比值,可用来比较维修效果。本文结合各部件的可靠性演化过程,部件维修方式的选择进行定量评估。将部件j第i次预防性维修成本作为投入成本,该次维修对机组可靠性提高量作为产出效益。
 
 
  式中: Wij为部件j 第i 次预防性维修费效比; Cij,pm为部件j 第i 次预防性维修成本,可由式( 11) 得到;( ΔR) ij为部件j 第i 次维修对机组可靠性提高量。不同类型的维修活动对部件的可靠性改善不同,根据部件j 第i 次维修活动类型,将维修后可靠性变化情况分为以下3 类,机组可靠性变化情况如图5 所示。
 
  (1) 不完全维修。部件j的可靠性有一定的提高,但不能恢复如新,引入改善因子描述其恢复效果。
 
 
  (2) 更换,即恢复如新,部件j的可靠性恢复为1。
 
 
  (3) 故障最小修复,即当部件j发生故障时,采用最小维修方式,可靠性不发生变化。
 
 
  部件j 维修对机组可靠性的改变量由式(25)得到。
 
 
  分别计算第i 次维修部件j 执行更换和不完全维修的费效比,若Wij,re < Wij,im,采取更换措施; 若Wij,re > Wij,im,则采取不完全维修; 若Wij,re = Wij,im,则为使部件尽可能的发挥其使用寿命,对部件j 进行不完全维护。
 
  由于预防性维修成本与机组可靠性改善这2 个因素的量纲不统一,数量级有较大差异,若直接使用原始数据进行计算比较,会产生较大误差,不能切实反映维修效果。为了消除上述原因对判定结果的影响,本文采用离差标准化方法( min-max normalizationmethod) 对数据进行标准化处理[21],从而提高使用费效比判断部件维修方式的灵敏度。标准化可由式(26) 计算得到。
 
 
  式中: ( Cij,pm) * 为标准化后的值; Cij,pm为第i次预防性维修部件j维修成本实际值; maxCj,pm、minCj,pm表示部件j预防性维修成本在运行周期内取得的最大值和最小值。同理可得机组可靠性提高量标准化后的数值。
 
  3 模型求解
 
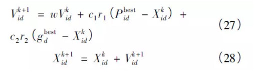
  海上风电机组分阶段预防性维修策略是一个多约束组合优化问题,本文采用反向粒子群算法对经济目标函数进行求解,求得最优阶段数以及每个阶段内最优的维修次数和维修时间间隔。该方法在每次粒子更新过程中加入反向学习,即每次迭代求出粒子适应度的同时,求其反向适应度,并在二者之间求得最优值,该方法扩大了搜索范围,加快收敛速度同时可以避免优化结果收敛到局部区域。选取策略经济模型(式(8))作为迭代过程中的适应度函数,确定S后产生N个2S+1维度的粒子,式(9)—(10)为约束条件。则第i维粒子的速度和位置可用式(27)—(28)求得。
 
 
  式中: d 为粒子维度,d = 2S + 1,i = 1,2,…d; w 为惯性权值,决定了对粒子当前速度继承的多少; c1、c2为学习因子,分别调节向个体极值点和全局极值点方向飞行的最大步长; r1、r2为[0,1]内的随机数;Pbestid与gbestd分别为第i 维粒子个体极值点和全局极值点。
 
  更新每个粒子位置Xi =[S,N1,τ1,…,NS,τS]后,每个粒子的反向点( opposite point) 由式(29)求得。
 
 
  式中ai和bi分别为第i 维粒子在搜索过程中可以取得的最大值和最小值。对超出约束条件的粒子,利用OBL 映射规则得到下一代粒子,通过适应度函数求解,记录最优解,并保留最优粒子位置,重复上述步骤直到结果收敛。算法寻优的流程如图6所示。
 
 
  4 仿真分析
 
  以某海上风电场的5 MW 机组为例,选取机组4个关键部件,分别为叶片、主轴承、齿轮箱、发电机,其weibull 分布参数、各部件的更换费用以及无故障运行的可靠性要求[15]如表2 所示。为方便叙述,对4个部件进行编号。
 
 
  结合该海上风电场历史风速数据,统计得到四季的容量因子,见表3。
 
 
  根据文献[16],取机会维修阈值为Rj o = Rj p +0. 015; 运维交通船的成本Cv0分为固定采购成本和可变成本,主要包括燃料费用,取Cv0为0. 5 ~1. 0 万元/d; 起重船成本Cv1和自升式平台船成本Cv2只计其租赁费用,分别取10 ~ 15 万元/d 和25 ~ 30万元/d; 维修活动分类及相关参数见表1,维护人员工资Cper = 300 元/( 人·d) ; 故障维修最小单位成本Cmr为1 万元; 上网电价C0为0. 95 元·( kW·h) - 1 ;成本调整因子取0. 4; 可靠度改善因子η 取0. 6; 运行周期T 为20 年,备件充足。
 
  4. 1 传统等时间间隔预防性维修策略
 
  传统等时间间隔预防性维修策略( S = 1) 的仿真结果如图7 所示。仿真结果表明,在机组寿命周期内共维修41 次时,单位时间维修成本Cav最低,为3.216 8 万元/d,最优维修时间间隔为178 d。
 
 
  该结果与目前海上风电场所采取的1年2次的定期维修计划相近,但是考虑春季和冬季的海上天气恶劣等问题造成风电机组可进入性差,可根据实际天气情况对维修时间间隔做适当调整。
 
  随着预防性维修次数的增加,单位时间维修成本降低,但当维修次数达到一定程度后,再增加维修次数,经济效益已不明显,频繁的拆装及人员调度反倒会增加维修成本,引起不必要的停机损失。
 
  4. 2 分阶段预防性维修策略
 
  两阶段( S = 2) 的预防性维修策略将设备的寿命周期分成前后2 个阶段,N1 τ1 + N2 τ2 = T。仿真结果如图8所示。
 
 
  计算得到最优的单位时间维修成本Cav为3. 238 7 万元/d。在第一维修阶段中,预防性维修共执行13 次,时间间隔为247 d,之后进入第二维修阶段,约每半年( 186 d) 执行1 次预防性维修任务,共进行22 次,这样的维修策略符合浴盆曲线的故障率规律,前期故障率较低,预防性维修间隔较大,后期随着故障率加速上升,间隔缩短。
 
  同理得到三阶段( S = 3) 与四阶段( S = 4) 的仿真结果,表4 为两阶段、三阶段与四阶段预防性维修策略结果的对比。
 
 
  S = 3 时,将运行期分成前、中和后这3 个阶段。投运前期机组整体可靠性高,故障率低,因而维修间隔大,约10 个月( 307 d) 进行1 次预防性维修,共进行9 次; 之后由于机组已投运一段时间,可靠性降低,故障率升高,维修间隔变短,甚至有部件需要更换,约每半年( 212 d) 进行1 次维修,共进行13次; 机组服役更长时间后进入第三阶段,虽然已有部件进行过更换,其可靠性较高,但机组整体可靠性水平依旧较低,故障风险高,需要更加频繁维修,因此每一季度( 119 d) 进行1 次预防性维修,共进行15 次。
 
  S = 4 时,将运行周期分成4 个阶段,仿真可得,当N1 = 7,N2 = 9,N3 = 10,N4 = 13时,最优的单位时间维修成本Cav为3. 018 3 万元/d。
 
  4. 3 费效比判断
 
  到达每一次预防性维修时刻时,将可靠性低于其预防性维修阈值的部件进行费效比判断,选择合适的维修方式。为充分体现费效比的决策过程,本文选取两阶段(S = 2) 预防性维修策略的第17次维修举例说明,该次维修的具体情况如表5所示。
 
 
  由表5可得: 部件1 与4 的可靠性低于各自预防性维修阈值,即R1 < R1 p、R4 < R4 p,需开展预防性维修工作; 部件2 的可靠性高于其机会维修阈值,即R2 >R2 o,故不进行维修; 部件3 的可靠性高于其预防性维修阈值,但低于其机会维修阈值,即R3p < R3 < R3 o,考虑机会维修,故对其采取不完全维修方式。
 
  计算部件1 和部件4 的费效比,部件1 的W171,im比W171,re小得多,虽然不完全维修对机组可靠性的提升情况比更换低0. 025 5,但更换成本比不完全维修成本大约高400 万元,且此时部件1 的可靠性较高,若采取更换,成本较高,所以采取不完全维修方式。部件4 的W174,i m比W174,re略小一些,仅相差0. 070 7,预防性维修成本相差约138 万元,但此时部件4 的可靠性已经很低,故障风险率高,故障更换成本远高于该次预防性更换成本( 260 万元),故建议其更换。
 
  4. 4 阶段数寻优
 
  两阶段( S = 2) 的维修策略与传统策略相比,总维修次数明显减少,这对工程而言是有利的,但损失了一部分维修成本,单位时间维修成本较传统策略增加了0. 992%,意味着在运行期内需要多花费约160万元。
 
  三阶段( S = 3) 维修策略与两阶段( S = 2) 相比,维修次数有一定的增加,但三阶段维修策略的单位时间维修成本为3. 077 1 万元/d,较两阶段降低了4. 99%,与传统等时间间隔的预防性维修策略相比降低了4. 05%,也就意味着在整个运行期内可节约1000万元的维修费用。这是由于三阶段维修策略更贴近部件的劣化过程,避免了前期过度维修或后期欠维修状态。
 
  四阶段( S = 4) 维修策略的单位时间维修成本为3. 018 3 万元/d,较三阶段( S = 3) 仅下降了1. 91%,带来的经济效益有所减弱,且总维修次数仍有所增加。阶段数S 与单位时间维修成本Cav及总维修次数NS的关系如图9所示。
 
 
  阶段数划分越多,理论计算维数越大,求解过程越复杂,对于工程实际而言,则意味着人员排班、船只调度等的变动更加频繁,维修计划的制定与实施也更为复杂,其指导意义并无大差别,故本文只分析到四阶段( S = 4) 的预防性维修策略。
 
  在实际维修工作中,若以维修可实施性为目标,维修经费有余量的情况下,选择两阶段( S = 2) 的维修策略; 若追求维修成本最低,则选择三阶段(S =3)的维修策略。
 
  5 结论
 
  (1) 与传统等时间间隔的预防性维修策略相比,分阶段预防性维修策略的维修间隔随阶段逐渐缩短,更好地适应了耗损型设备失效率随工龄增加的特点。
 
  (2) 考虑维修成本最低为目标,建议选择三阶段(S = 3) 的维修策略; 若追求维修次数最少,则选择两阶段(S = 2) 的维修策略。这在维修实践中能够帮助制定更加合理且便于操作的维修策略。
 
  (3) 维修阶段数的增加一方面增大了理论计算工作量,另一方面维修过程更趋近非等周期的预防性维修策略,失去了分阶段在维修工作制定上的优化意义。故应结合机组实际运行情况,兼顾经济性与可实施性的同时,合理划分阶段数,并根据实际天气情况对策略做适当调整。
返回 国际新能源网 首页

新能源资讯一手掌握,关注 风电头条 储能头条 微信公众号

看资讯 / 读政策 / 找项目 / 推品牌 / 卖产品 / 招投标 / 招代理 / 发文章

风电头条

储能头条

0条 [查看全部]   相关评论

国际能源网站群

国际能源网 国际新能源网 国际太阳能光伏网 国际电力网 国际风电网 国际储能网 国际氢能网 国际充换电网 国际节能环保网 国际煤炭网 国际石油网 国际燃气网